第一时间捕获有价值的信号
深入浅出地介绍深度学习入门知识,涵盖感知机、神经网络、激活函数、损失函数及误差反向传播等核心概念,助你理解并动手实现深度学习框架。
深度学习入门
最近想了解下深度学习相关的入门知识,找来找去发现了这本书,从最基础的概念出发,教读者动手实现一个深度学习框架,有基础的高等数学知识后基本可以无障碍阅读。顺便一提,这本书也是日本人写的,跟当初学 C 语言时看柴田望洋的《明解C语言》感觉一样,通俗易懂,尽可能把晦涩的概念讲的简单易懂。
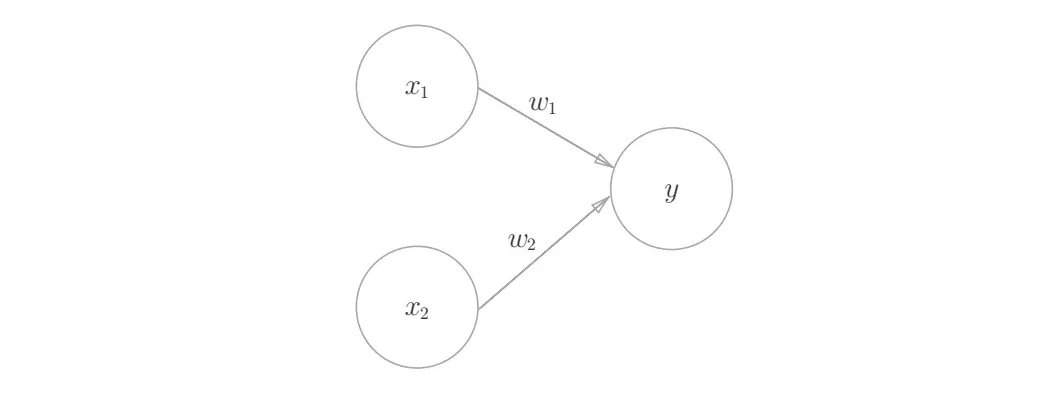
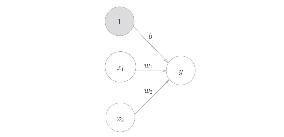
感知机(perceptron)
感知机是具有输入和输出的算法,给定一个输入后,将输出一个既定的值,感知机将权重和偏置设定为参数。
使用感知机可以表示与门和或门等逻辑电路,异或门无法通过单层感知机来表示,但使用2层感知机可以表示异或门,多层感知机(在理论上)可以表示计算机。
单层感知机只能表示线性空间,而多层感知机可以表示非线性空间。
神经网络(neural network)
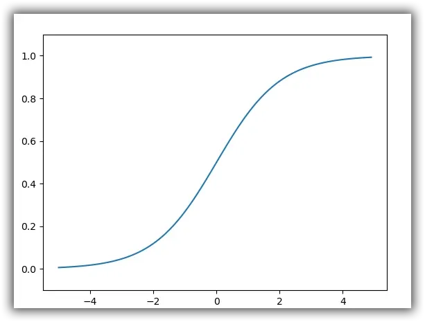
神经网络中的激活函数使用平滑变化的 sigmoid 函数或 ReLU 函数。神经网络和感知机在信号的按层传递这一点上是相同的,但是向下一个神经元发送信号时,改变信号的激活函数有很大差异,神经网络中使用的是平滑变化的 sigmoid 函数,而感知机中使用的是信号急剧变化的阶跃函数。(感知机神经元之间流动的是0或1的二元信号,而神经网络中流动的是连续的实数值信号。)
机器学习的问题大体上可以分为回归问题和分类问题,关于输出层的激活函数,回归问题中一般用恒等函数,分类问题中一般用 softmax函数。分类问题中,输出层的神经元的数量设置为要分类的类别数。
输入数据的集合称为批,通过以批为单位进行推理处理,能够实现高速的运算;通过巧妙地使用 NumPy多维数组,可以高效地实现神经网络。
激活函数(activation function)
激活函数的作用在于决定如何激活输入信号的总和。
阶跃函数
$$
h(x)=\left{\begin{matrix}
&1 &(x>0) \
&0 &(x<=0)
\end{matrix}\right.
$$
sigmoid 函数
$$
h(x)=\frac{1}{1+exp(-x)}
$$
ReLU 函数
$$
h(x)=\left{\begin{matrix}
&x &(x>0) \
&0 &(x<=0)
\end{matrix}\right.
$$
恒等函数
$$
y_{k}=x_{k}
$$
softmax 函数(输出是0到1之间的实数,输出值的总和是1)
$$
y_{k}=\frac{exp(a_{k})}{\sum_{i=1}^{n}exp(a_{i})}
$$
神经网络的学习
机器学习中使用的数据集分为训练数据和测试数据,神经网络用训练数据进行学习,并用测试数据评价学习到的模型的泛化能力。
利用某个给定的微小值的差分求导数的过程,称为数值微分,利用数值微分,可以计算权重参数的梯度。
典型损失函数(loss function)
神经网络的学习以损失函数为指标,更新权重参数,以使损失函数的值减小。损失函数可以使用任意函数,但一般用均方误差和交叉熵误差。
均方误差(mean squared error) $$ E=\frac{1}{2}\sum_{k}(y_{k}-t_{k})^{2} $$ 交叉熵误差(cross entropy error) $$ E=-\sum_{k}t_{k}logy_{k} $$
梯度法(gradient)
梯度法:梯度的负方向并不一定指向最小值,但沿着它的方向能够最大限度地减小函数的值,通过(不断调整梯度方向)不断地沿梯度方向前进,逐渐减小函数值的过程称为梯度法。寻找最小值的梯度法称为梯度下降法,寻找最大值称为梯度上升法。对随机选择的 mini batch 数据进行的梯度下降法称为SGD(stochastic gradient descent)。 $$ x0=x0-\eta \frac{\partial f}{\partial x_{0}} $$ $$ x1=x1-\eta \frac{\partial f}{\partial x_{1}} $$ $\eta$表示更新量,在神经网络学习中称为学习率(learning rate),学习率决定在一次学习中应该学习多少,以及在多大程度上更新参数。学习率属于超参数,需要人工设定。
误差反向传播法
神经网络的损失是输入和网络参数的函数,取一批训练样本作为输入,把参数视为变量,可以对它们求导。损失函数再复杂(神经网络层数越多,损失函数越复杂)也是若干仿射变换、激活函数以及softmax的叠加。利用链式法则,我们总能把导函数求出来。但是求解过程费时费力,并且随着神经网络加深变得越发艰难,不同的网络有不一样的导数,每次创建新网络都要计算一次导函数,不能一劳永逸地解决问题。
根据链式法则,一个量A关于另一个量W的导数与W是怎么计算出来的无关,又由于神经网络同一层的神经元执行相同的运算(因此具有相同形式的局部导数(这一层的输出关于这一层的输入(也许这是上一层的输出)的导数)),我们可以让层记忆与求局部导数相关的计算(做预测)的中间结果,再从后往前(从输出向输入)逐层逐中间变量计算导数,最终得到损失关于输入的导数。具体理解参考 3Blue1Brown
通过使用计算图,可以直观地把握计算过程,计算图的节点是由局部计算构成的,局部计算构成全局计算,计算图的正向传播进行一般的计算,通过计算图的反向传播,可以计算各个节点的导数。
通过比较数值微分和误差反向传播法的结果,可以确认误差反向传播法的实现是否正确(这一过程称作梯度确认)。
与学习相关的技巧
寻找最优权重参数的最优化方法
除了SGD之外,还有 Momentum、 AdaGrad(会为参数的每个元素适当的调整学习率)、Adam等方法。最优化方法的比较:

权重参数的初始值
各层的激活值的分布都要求有适当的广度。因为通过在各层间传递多样性的数据,神经网络可以进行高效的学习。反过来,如果传递的是有所偏向的数据,就会出现梯度消失或者“表现力受限”的问题,导致学习可能无法顺利进行。所以权重初始值的赋值方法对进行正确的学习非常重要。作为权重初始值, Xavier初始值、He初始值等比较有效。
通过使用 Batch Normalization(以进行学习时的mini-batch为单位,按mini-batch进行正规化,具体就是进行使数据分布的均值为0、方差为1的正规化。),“强制性”地调整激活值的分布,可以加速学习,并且对初始值变得健壮(不依赖于初始值)。

抑制过拟合
过拟合指的是只能拟合训练数据,但不能很好地拟合不包含在训练数据中的其他数据的状态。权值衰减是一直以来经常被使用的一种抑制过拟合的方法,该方法通过在学习的过程中对大的权重进行惩罚,来抑制过拟合,很多过拟合原本就是因为权重参数取值过大才发生的。 Dropout是一种在学习的过程中随机删除神经元的方法。训练时,每传递一次数据,就会随机选择要删除的神经元,被删除的神经元不再进行信号的传递。然后,测试时虽然会传递所有的神经元信号,但是对于各个神经元的输出,要乘上训练时的删除比例后再输出。
超参数的最优化
超参数是指各层的神经元数量、 batch大小、参数更新时的学习率或权值衰减等。训练数据用于参数(权重和偏置)的学习,验证数据用于超参数的性能评估。为了确认泛化能力,要在最后使用(比较理想的是只用一次)测试数据。
步骤:设定超参数的范围;从设定的超参数范围中随机采样;使用采样到的超参数的值进行学习,通过验证数据评估识别精度(但是要将epoch设置得很小);重复大约100次,根据它们的识别精度的结果,缩小超参数的范围。反复进行上述操作,不断缩小超参数的范围,在缩小到一定程度时,从该范围中选出一个超参数的值。
卷积神经网络
基于全连接层(Affine层)的网络,神经网络的正向传播中进行的矩阵的乘积运算在几何学领域被称为“仿射变换” ,这里将进行仿射变换的处理实现为“Affine层”。
基于CNN的网络:新增了Convolution层和Pooling层(使用im2col函数可以简单、高效地实现卷积层和池化层。)

卷积层
卷积运算
卷积层的输入数据称为输入特征图(input feature map),输出数据称为输出特征图(output feature map),卷积层进行的处理就是卷积运算。

填充
卷积运算的填充处理:向输入数据的周围填入0(图中用虚线表示填充,并省略了填充的内容“ 0”),卷积运算就可以在保持空间大小不变的情况下将数据传给下一层。

步幅
应用滤波器的位置间隔称为步幅(stride)

批处理
卷积运算必须考虑滤波器的数量。因此,作为4维数据,滤波器的权重数据要按(output_channel, input_channel , height, width)的顺序书写。比如,通道数为3、大小为5 × 5的滤波器有20个时,可以写成(20, 3, 5, 5)。
卷积运算的处理流(批处理),按(batch_num, channel, height, width)的顺序保存数据。

池化层
池化只是从目标区域中取最大值(或者平均值),所以不存在要学习的参数。经过池化运算,输入数据和输出数据的通道数不会发生变化,计算是按通道独立进行的。
除了Max池化之外,还有Average池化等。相对于Max池化是从目标区域中取出最大值,Average池化则是计算目标区域的平均值。在图像识别领域,主要使用Max池化。
深度学习
在深度学习的发展中,大数据和GPU做出了很大的贡献,对于大多数的问题,都可以期待通过加深网络来提高性能。基于GPU、分布式学习、位数精度的缩减,可以实现深度学习的高速化。深度学习(神经网络)不仅可以用于物体识别,还可以用于物体检测、图像分割,深度学习的应用包括图像标题的生成、图像的生成、强化学习。
更多资料
What is the class of this image ? ImageNet ICML ResNet, AlexNet, VGG, Inception: 理解各种各样的CNN架构 ゼロから作る Deep Learning